Jeśli w polu elektrostatycznym znajduje się jakieś ciało próbne posiadające ładunek elektryczny Q, działa na nie siła
F = QE
Kiedy ciało to ulega przesunięciu, wówczas siła wykonuje pewną pracę. Jeśli ciało doznało przesunięcia z punktu 1 - 2, po lini
i krzywej, wówczas praca wykonana przez linie sił pola elektrostatycznego można wyrazić całką: 
lub

Jeśli ciało ulega przemieszczeniu po dowolnej krzywej zamkniętej (praca pola elektrostatycznego jest wówczas równa zero), więc
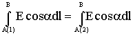
Przemieszczenie pomiędzy dwoma dowolnymi punktami A i B na krzywej zamkniętej prowadzi do wniosku

czyli

gdzie:
(1), (2) - droga po krzywej zamkniętej.
A więc całka nie zależy od drogi, jaką obierzemy pomiędzy punktami A i B, a jedynie od ich położenia.Źródło: Sz. Szczeniowski, "Fizyka doświadczalna" cz.3