Wiemy wszyscy znakomicie z doświadczenia codziennego, że piłeczka np. ping-pongowa upuszczona swobodnie na podłogę w najlepszym przypadku odbije się na (prawie) tę samą wysokość, nigdy jednak wyżej. Upuśćmy z dłoni dwie piłeczki - lekką (ping pongową) i ciężką (kauczukową), poczym położone jedna na drugiej (cięższa pod spodem i lżejsza na wierzchu). Po odbiciu od podłogi lżejsza piłeczka leci aż pod sufit! Przeczy to nie tylko zdrowemu rozsądkowi, ale przede wszystkim zasadzie zachowania energii. |
Wyjaśnienie
W rzeczywistości, w momencie odbicia od podłogi mamy do czynienia z ukrytym zderzeniem. Cięższa piłeczka odbija się od podłogi wcześniej i zmienia zwrot wektora prędkości podczas gdy wektor prędkości lżejszej wciąż jeszcze skierowany jest w tym czasie w dół. W efekcie sprężystego zderzenia, pęd cięższej piłeczki przekazany zostaje piłeczce lżejszej i co za tym idzie lżejsza piłeczka odbija się na dużo większą wysokość.
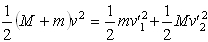
Przyjmując masę lżejszej piłeczki jako m a cięższej jako M i zakładając, że zostały upuszczone z wysokości h, z zasady zachowania energii otrzymujemy, że w momencie zderzenia prędkość mniejszej piłeczki wynosi -v a większej v (czyli z przeciwnym zwrotem). Stosując zasadę zachowania energii (zakładamy zderzenie sprężyste):
i pędu
wartości prędkości po zderzeniu wynoszą
dla piłki lżejszej i
dla cięższej.
Zakładając teraz, że m jest dużo mniejsze od M można powyższe wartości przybliżyć jako
czyli, po uwzględnieniu, że energia kinetyczna zostaje zamieniona w energię potencjalną, mniejsza piłeczka odbije się na wysokość dziewięciokrotnie wyższą niż cięższa.
Oczywiście, lżejsza piłeczka zyskuje na prędkości w momencie zderzenia i odbija się wyżej - większa odbija się natomiast niżej - powtórz doświadczenie jeszcze raz obserwując dla odmiany piłeczkę cięższą.
| Patrz także: inne zabawki, pojęcia i zjawiska związane: | |
| Energia (Zas. zach. energii): |
Doświadczenie na deser
Kroczące zwierzaki
Kamień Celtycki
Młynek Croksa
Schodząca sprężyna
Słoneczne baterie
Wahadło Newtona
Wstający bączek
|
| Pęd (zas. zach. pędu) | Młynek Croksa Wahadło Newtona |
| Zderzenia | Kula plazmowa Młynek Croksa Wahadło Newtona |